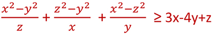
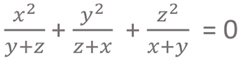
Exercice 01
x,y,z trois nombres réels strictement positifs m
Montrer que :
Exercice 03
x,y deux nombres réels tel que:
x + y = 1
montrez que :
x + y = 1
montrez que :
Exercice 04
x,y,z trois nombres réels positifs
tel que : 2(z²-y²) = 3x²
Trouvez le plus grande de ces trois nombres
Trouvez le plus grande de ces trois nombres
Exercice 05
Exercice 06
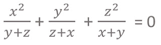
x,y,z trois nombres réels strictement positifs
Montrer que:
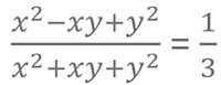
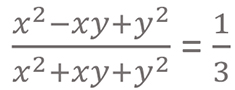
Exercice 07
x,y,z trois nombres réels non nul
tel que: (x+y+z)² = x²+y²+z²
Montrer que :
Montrer que :
Exercice 09
Exercice 10
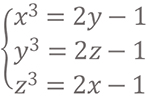
x,y,z trois nombres réels strictement positifs
et m ∊ IR; Tel que :
xyz = 1 &
xyz = 1 &
Montrer que : m = 1/2.
Exercice 11
Exercice 13
Exercice 14
Pour quelle valeur de a l’équation:
|x-1|+|x-2|+|x-3|+|x-4|+|x-5| = a
admet – elle une solution unique ?
Exercice 15
on donne:
1³+2³+…..14³+15³=14400
Calculer
2³+4³+6³…..28³+30³
Exercice 16
Exercice 18
Exercice 19
(x+y+z)²=x²+y²+z²
Exercice 22
Exercice 23
x,y deux nombres réels tel que:
Exercice 26
x et y deux nombres différents
Tel que :
x²=y+2019 & y²=x+2019
Calculer xy
Exercice 27
Déterminer tous les couples (x, y) de nombres réels tels que :
|x + y| = 3 et xy = −10.
Exercice 30
Exercice 31
Exercice 32
1- a,b,c trois nombres réels.
Montrer que :
(a+b+c)² ≤ 3(a²+b²+c²)
2- x,y,z des nombres réels strictement positifs.
Tel que : x+y+z=1.
Montrer que:
Exercice 34
Liens utiles :
Olympiade de Maths, c’est une gymnastique de l’esprit, Ce qu’il faut c’est 4math.net et beaucoup de pratiques
4math.net Le première clé pour être bon en maths






























