( compétition de math destinée aux élèves des lycées et collèges)
Des exercices et sujets corrigés pour s’entraîner.
Des exercices et sujets corrigés pour s’entraîner.
▶️ Olympiade de Math – Algèbre Niveaux 01 – Exercice 25
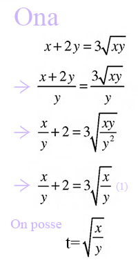
\(x\) et \(y\) deux nombres différents strictement positifs
Tel que: \(x+2y=3\sqrt{xy}\)
Calculer \(\frac{x}{y}\)
solution:
➝ t²-3t+2 = 0 (t=1 racine)
t²-2t-t+2 = 0
➝ t(t-2)-(t-2) = 0
➝ (t-2)(t-1) = 0
➝ t=2 ou t=1
➝ t²=2 ou t²=1
➝ x/y= 4 ou x/y=1
puisque x≠y
➨ x/y= 4
➨ x/y= 4
solution:
➝ t²-3t+2 = 0 (t=1 racine)
t²-2t-t+2 = 0
➝ t(t-2)-(t-2) = 0
➝ (t-2)(t-1) = 0
➝ t=2 ou t=1
➝ t²=2 ou t²=1
➝ x/y= 4 ou x/y=1
puisque x≠y
➨ x/y= 4
➨ x/y= 4
Olympiade de Maths, c’est une gymnastique de l’esprit, Ce qu’il faut c’est 4math.net et beaucoup de pratiques
4math.net Le première clé pour être bon en maths

