( compétition de math destinée aux élèves des lycées et collèges)
Cours que nous vous proposons pour vous entraîner.
Facile mais toujours utile
Théorème 1: L’inégalité triangulaire
Pour tous points non alignés A, B, C de l’espace, on a :
BC < AB+AC.
BC < AB+AC.
avec égalité si et seulement si C ∈ (AB).
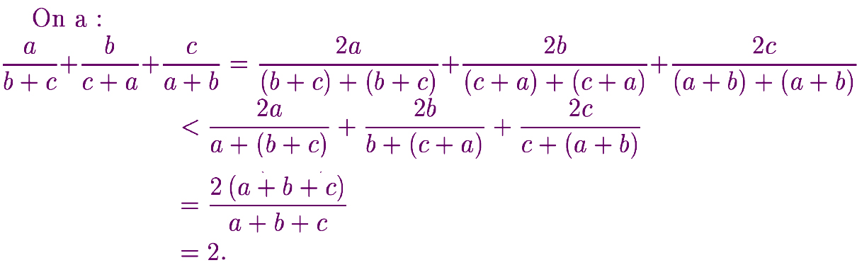
♦️ Application : (Autriche/Pologne)
Soient a, b, c les longueurs des côtés d’un triangle.
Montrer que:
Voir Solution
Théorème 1: L’inégalité triangulaire.
Liens utiles :
L’Olympiade Internationale de Mathématiques (OIM)
Olympiade de Maths, c’est une gymnastique de l’esprit, Ce qu’il faut c’est 4 math .net et beaucoup de pratiques.
4 math .net Le première clé pour être bon en maths
4 math .net Le première clé pour être bon en maths

