Olympiade Math – Géométrie 01 – Ex 19

Olympiade de Mathématiques
( compétition de math destinée aux élèves des lycées et collèges)


Olympiade Math – Géométrie 01 – Exercice 19

voir figure suivante:

Calculer x?

Voir solution

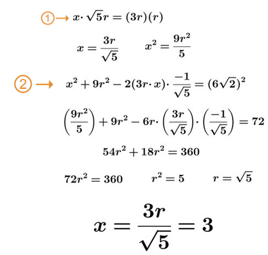
On complétons la figure:

Trouvons une relation entre x et r:
*d’une part:
Les triangles ICB & DCH sent semblables : 

CĴB=HD̂C (angles inscrits interceptant le même arc de cercle ont la même mesure).
CJ/CD=CB/CH 
CJxCH=CBxCD
CB=r , CD=3xr et CH=X
XxCJ=3xr² 

*d’autre part:
Formule d’Al-Kashi, ou loi des cosinus : la formule relie la longueur des côtés en utilisant le cosinus d’un des angles du triangle.

Sur le triangle HCD :
DH²=DC²+CH²-2DCxCHcos(α)
* Calcule de cos(α):
le triangle ABC
cos(α)=-cos(π-α)=-BC/AC
BC=r & AC²=(2r)²+r²=5r²xa


* Calcule de CJ:
Triangle rectangle BIJ
CJ²=(2xr)²+r²
CJ²=5xr² 

Liens utiles :

L’Olympiade Internationale de Mathématiques (OIM)
Olympiade de Maths, c’est une gymnastique de l’esprit, Ce qu’il faut c’est 4math.net et beaucoup de pratiques. 4math.net Le première clé pour être bon en maths