( compétition de math destinée aux élèves des lycées et collèges)
Des exercices et sujets corrigés pour s’entraîner.
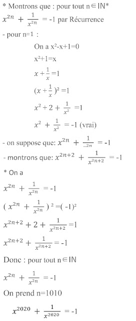
Olympiade Math – Algèbre 02 – Exercice 15
Soit x un nombre réal non nul,
Tel que: x²-x+1=0
Calculer x²º²º + 1 / x²º²º ?
Olympiade de Maths, c’est une gymnastique de l’esprit, Ce qu’il faut c’est 4math.net et beaucoup de pratiques
4math.net Le première clé pour être bon en maths

