( compétition de math destinée aux élèves des lycées et collèges)
Des exercices et sujets corrigés pour s’entraîner.
Olympiade de Math – Algèbre Niveaux 01 – Exercice 35
Calcule les sommes Suivantes:
S₁= 1+2+3…..+2019
S₂=3¹+3²+3³…..+3²⁰¹⁹

1) on a
S₁= 1+2+…..2018+2019 ①
S₁= 2019+2018…..+2+1②
①+②
➝ 2S₁= (1+2019)+(2+2018)….+(2019+1)
2S₁=2020+2020…..+2020 (2019 termes)
2S₁=2020×2019
⏵ S₁= (2020×2019) / 2
Suite arithmétique
2) on a
S₂=3¹+3²+3³…..+3²⁰¹⁹ ①
3S₂=3²+3³…..+2²⁰¹⁹+3²⁰²⁰ ②
②-①
3S₂-S₂=(3²+3³…..3²⁰²⁰)-(3¹+3²…..+3²⁰¹⁹)
2S₂=3²⁰²⁰-3
⏵ S₂= (3²⁰²⁰-3) / 2
Suite géométrique
3) on a
n=1 ➝ 1/(2*3) = 1/2 – 1/3
n=2 ➝ 1/(3*4) = 1/3 – 1/4
…..
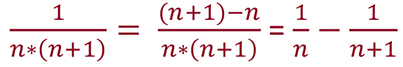
n ➝ 1/(n*(n+1)) = 1/n – 1/n+1
Somme des n termes:
➝ S₃=1/2 – 1/n+1
⏵ S₃= (n-1) / (2n+2)
Olympiade de Maths, c’est une gymnastique de l’esprit, Ce qu’il faut c’est 4math.net et beaucoup de pratiques
4math.net Le première clé pour être bon en maths

